Постановление Правительства Нижегородской области от 09.02.2026 N 41 "О внесении изменений в Методические рекомендации по применению методов определения начальной (максимальной) цены контракта, цены контракта, заключаемого с единственным поставщиком (подрядчиком, исполнителем), для обеспечения нужд Нижегородской области, утвержденные постановлением Правительства Нижегородской области от 30 июня 2014 г. N 434"
ПРАВИТЕЛЬСТВО НИЖЕГОРОДСКОЙ ОБЛАСТИ
ПОСТАНОВЛЕНИЕ
от 9 февраля 2026 г. N 41
О внесении изменений в Методические рекомендации
по применению методов определения начальной
(максимальной) цены контракта, цены контракта,
заключаемого с единственным поставщиком
(подрядчиком, исполнителем), для обеспечения
нужд Нижегородской области, утвержденные
постановлением Правительства Нижегородской
области от 30 июня 2014 г. N 434
Правительство Нижегородской области постановляет:
1. Внести в Методические рекомендации по применению методов определения начальной (максимальной) цены контракта, цены контракта, заключаемого с единственным поставщиком (подрядчиком, исполнителем), для обеспечения нужд Нижегородской области, утвержденные постановлением Правительства Нижегородской области от 30 июня 2014 г. N 434, следующие изменения:
1.1. Подпункт 3.5.4 пункта 3.5 изложить в следующей редакции:
"3.5.4. Индексы прогнозной инфляции на второй и последующие годы периода выполнения подрядных работ, приходящегося на несколько лет, строительства объекта определяются следующим образом:
а) за первый и вторые годы строительства объекта - по формуле 3:
,
где:
k - порядковый номер последнего месяца первого года за минусом количества месяцев с начала года до месяца, в котором определяется НМЦК включительно;
l - порядковый номер месяца окончания работ во втором году (либо порядковый номер последнего месяца второго года, в случае, если срок выполнения подрядных работ более двух лет);
Идеф1 - индекс-дефлятор на первый год выполнения работ, определенный Министерством экономического развития Российской Федерации по строке "Инвестиции в основной капитал (капитальные вложения)" в соответствии с прогнозом социально-экономического развития Российской Федерации, в % к предыдущему году;
Идеф2 - индекс-дефлятор на второй год выполнения работ, определенный Министерством экономического развития Российской Федерации по строке "Инвестиции в основной капитал (капитальные вложения)" в соответствии с прогнозом социально-экономического развития Российской Федерации, в % к предыдущему году;
0,5 - коэффициент, учитывающий инфляцию на середину периода выполнения работ в каждом году;
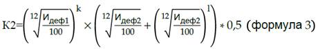
б) за i-й год строительства объекта - по формуле 4:
,
где:
m - порядковый номер месяца окончания работ в i-году;
Идефi - индекс-дефлятор на i-год выполнения работ, прогнозируемый Министерством экономического развития Российской Федерации по строке "Инвестиции в основной капитал (капитальные вложения)" в соответствии с прогнозом социально-экономического развития Российской Федерации, в % к предыдущему году."
1.2. Абзац второй пункта 3
.6 изложить в следующей
редакции:
"В случае если срок проведения работ с учетом установленных контрактом сроков выполнения проектно-изыскательских работ переходит на второй и (или) последующие годы, то индекс прогнозной инфляции на второй и (или) последующие годы определяется по формулам 2-4.".
1.3. Приложение к Методическим рекомендациям изложить в новой редакции согласно приложению к настоящему постановлению.
2. Настоящее постановление вступает в силу со дня его официального опубликования.
И.о.Губернатора А.Н.Гнеушев
ПРИЛОЖЕНИЕ
к постановлению Правительства
Нижегородской области
от 9 февраля 2026 г. N 41
"ПРИЛОЖЕНИЕ
к Методическим рекомендациям
по применению методов определения
начальной (максимальной) цены контракта,
цены контракта, заключаемого с
единственным поставщиком (подрядчиком,
исполнителем), для обеспечения нужд
Нижегородской области
ПРИМЕР РАСЧЕТА НАЧАЛЬНОЙ (МАКСИМАЛЬНОЙ)
ЦЕНЫ КОНТРАКТА ПРИ ОСУЩЕСТВЛЕНИИ ЗАКУПОК
ПОДРЯДНЫХ РАБОТ ПО СТРОИТЕЛЬСТВУ ОБЪЕКТА
КАПИТАЛЬНОГО СТРОИТЕЛЬСТВА
(все цифры условные)
1. Исходные данные:
1.1. Сметная документация по строительству объекта капитального строительства, входящая в состав проектной документации (далее - сметная документация), выполнена на основании неприменяемой на дату определения НМЦК сметно-нормативной базы.
Сметная стоимость подрядных работ по строительству объекта согласно утвержденной сметной документации в уровне цен 3 квартала 2024 года на основании заключения экспертизы от октября 2024 года составила 34860,0 тыс. руб. (с учетом НДС);
- закупка производится в 1-м квартале 2025 года;
- месяц формирования НМЦК - январь 2025 года;
- начало строительства - апрель 2025 года;
- окончание строительства - ноябрь 2027 года.
1.2. Индексы фактической инфляции (индексы цен на продукцию (затраты, услуги) инвестиционного назначения по видам экономической деятельности (строительство), публикуемые Федеральной службой государственной статистики):
Ист10 - индекс фактической инфляции по данным Росстата за октябрь 2024 года к сентябрю 2024 года (100,64%);
Ист11 - индекс фактической инфляции по данным Росстата за ноябрь 2024 года к октябрю 2024 года (100,62%);
Ист12 - индекс фактической инфляции по данным Росстата за декабрь 2024 года к ноябрю 2024 года (100,48%);
Ист13 - индекс фактической инфляции за январь 2025 года к декабрю 2024 года (принимается в размере, установленном для последнего опубликованного месяца - 100,48%).
1.3. Индекс прогнозной инфляции (индексы-дефляторы, определенные Министерством экономического развития Российской Федерации по строке "Инвестиции в основной капитал (капитальные вложения)" в соответствии с прогнозом социально-экономического развития Российской Федерации до 2027 года):
Идеф1 - индекс прогнозной инфляции на 1-й год строительства (107,4%);
Идеф2 - индекс прогнозной инфляции на 2-й год строительства (105,5%);
Идеф3 - индекс прогнозной инфляции на 3-й год строительства (104,1%).
1.4. Продолжительность строительства:
n - период от даты определения НМЦК до даты окончания работ в первом году строительства, мес., начиная с месяца, следующего за месяцем, в котором определяется НМЦК (n=11);
k - порядковый номер последнего месяца первого года за минусом количества месяцев с начала года до месяца, в котором определяется НМЦК включительно (k=11);
l - порядковый номер месяца окончания работ во втором году (либо порядковый номер последнего месяца года в случае, если срок выполнения подрядных работ более двух лет) (l=12);
m - порядковый номер месяца окончания работ в i-году (m=11);
0,5 - коэффициент, учитывающий инфляцию на середину периода выполнения подрядных работ в каждом году.
1.5. Доли сметной стоимости подрядных работ, подлежащих выполнению:
Д1 - доля сметной стоимости подрядных работ, подлежащих выполнению в 1 году (28%);
Д2 - доля сметной стоимости подрядных работ, подлежащих выполнению в 2 году (38%);
Д3 - доля сметной стоимости подрядных работ, подлежащих выполнению в 3 году (34%).
2. Расчет сметной стоимости подрядных работ по строительству объекта в текущем уровне цен на дату формирования НМЦК:
С = 34860,0 x 1,0064 x 1,0062 x 1,0048 x 1,0048 = 35640,32 тыс.руб.
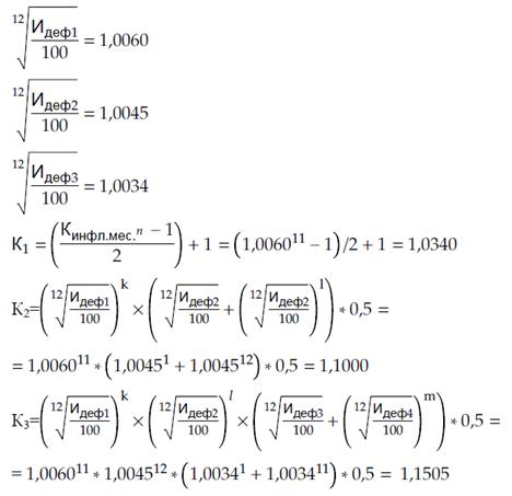
Расчет индексов прогнозной инфляции:

3. Расчет НМЦК:
Цп = 35640,32 x (0,28 x 1,0340 + 0,38 x 1,1000 + 0,34 x 1,1505) = 39 158,02 тыс. руб.
В случае если сметная документация выполнена на основании применяемой на дату определения НМЦК сметно-нормативной базы, то пересчет сметной стоимости подрядных работ по строительству объекта согласно утвержденной сметной документации в уровень цен на дату определения НМЦК производится с применением индексов изменения сметной стоимости строительства, размещаемых Минстроем России в федеральном реестре сметных нормативов и действующих на дату определения НМЦК. Применение индексов прогнозной инфляции осуществляется в порядке, предусмотренном в вышеуказанном примере.".
